| 索引号: | 11500106559037736B/2025-00067 | 信息分类名称: | 劳动、人事、监察/其他 | ||
| 发布机构: | 沙坪坝区人力社保局 | 生成日期: | 2025-11-17 | 发布日期: | 2025-11-17 |
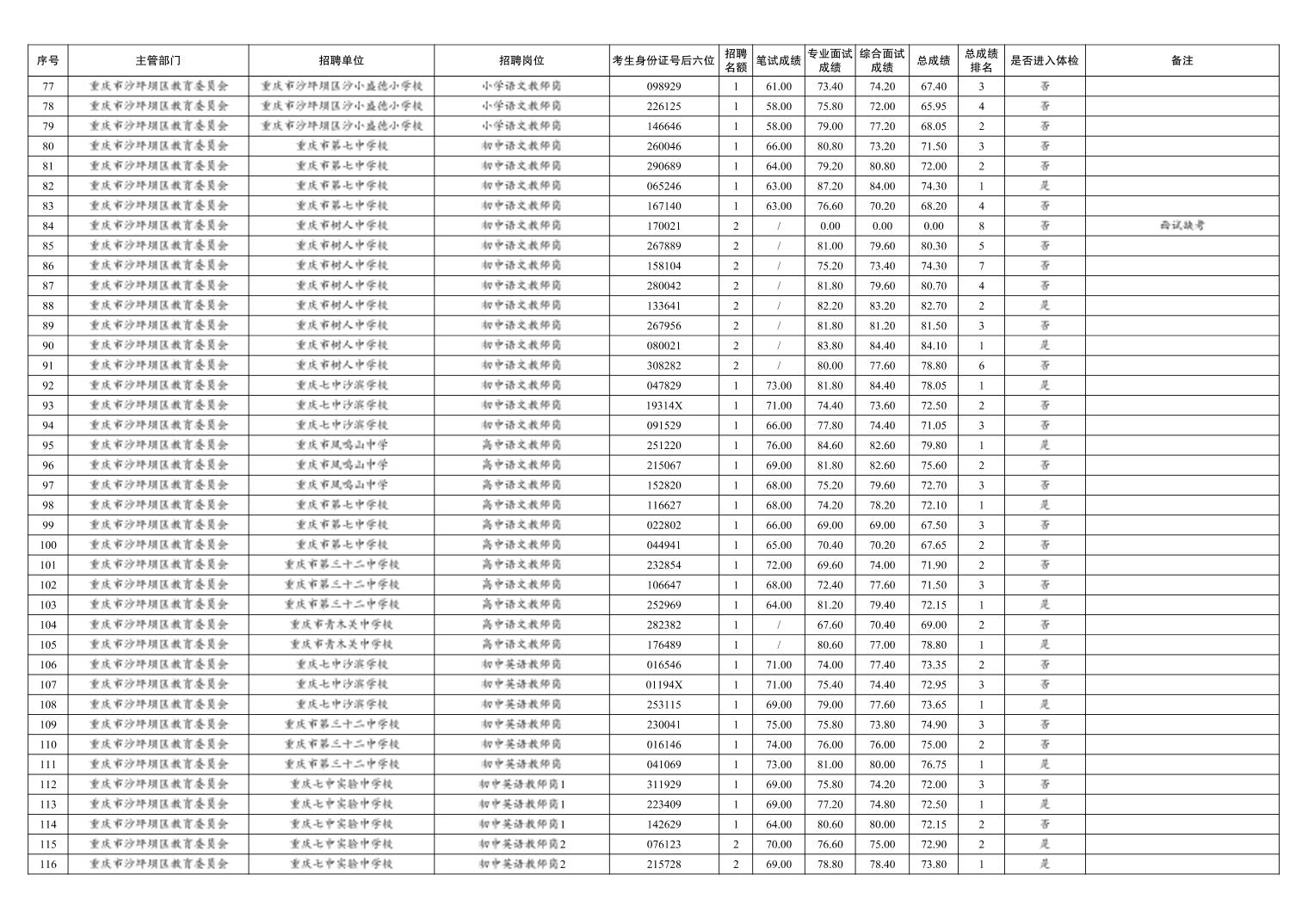
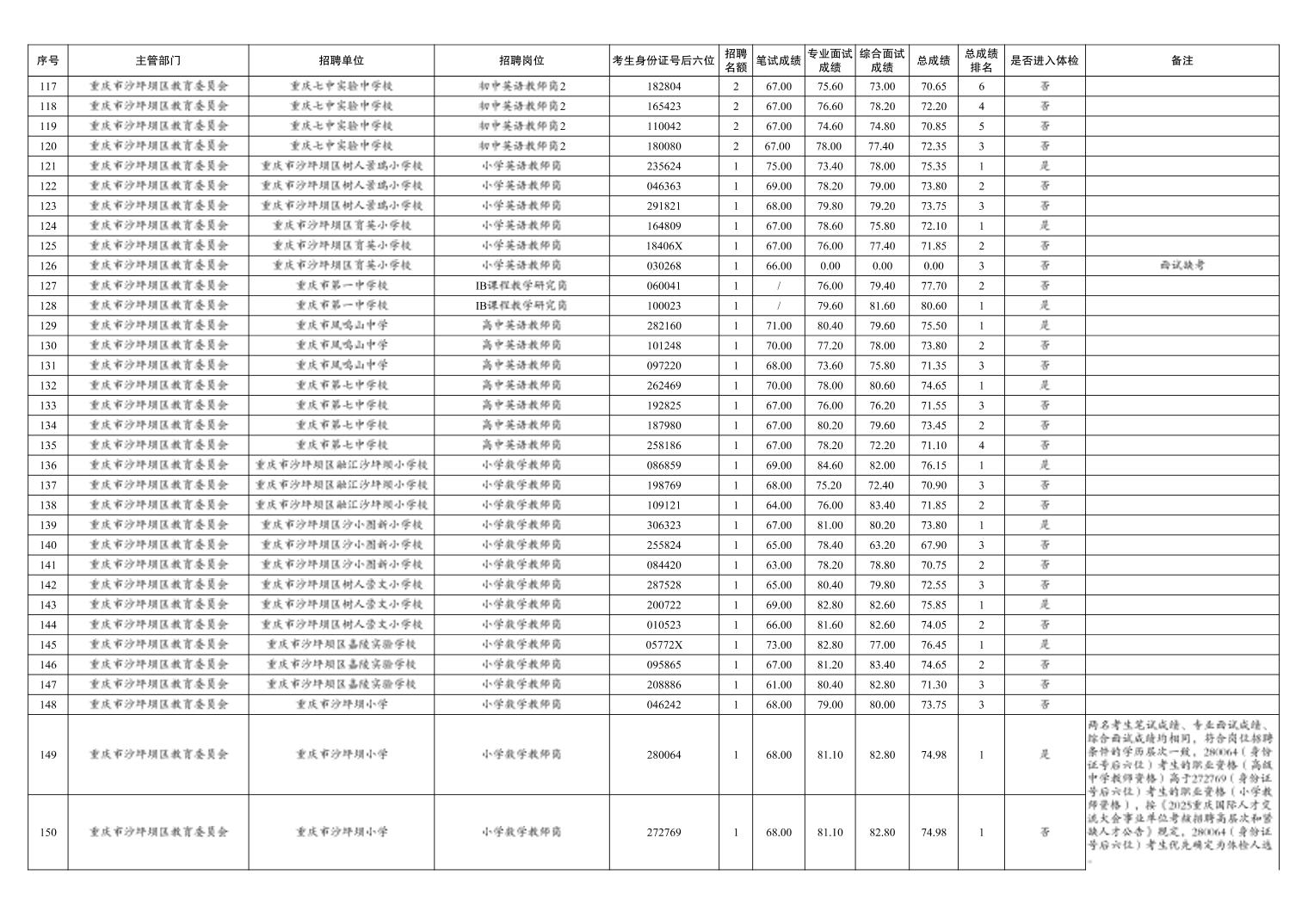
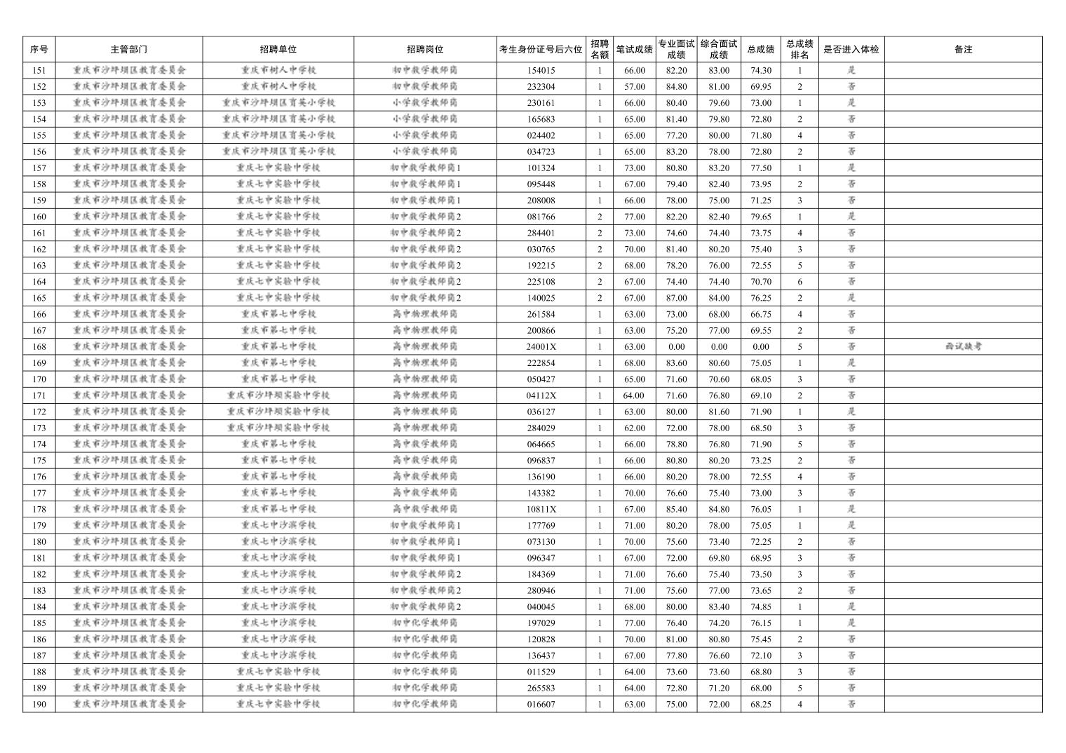
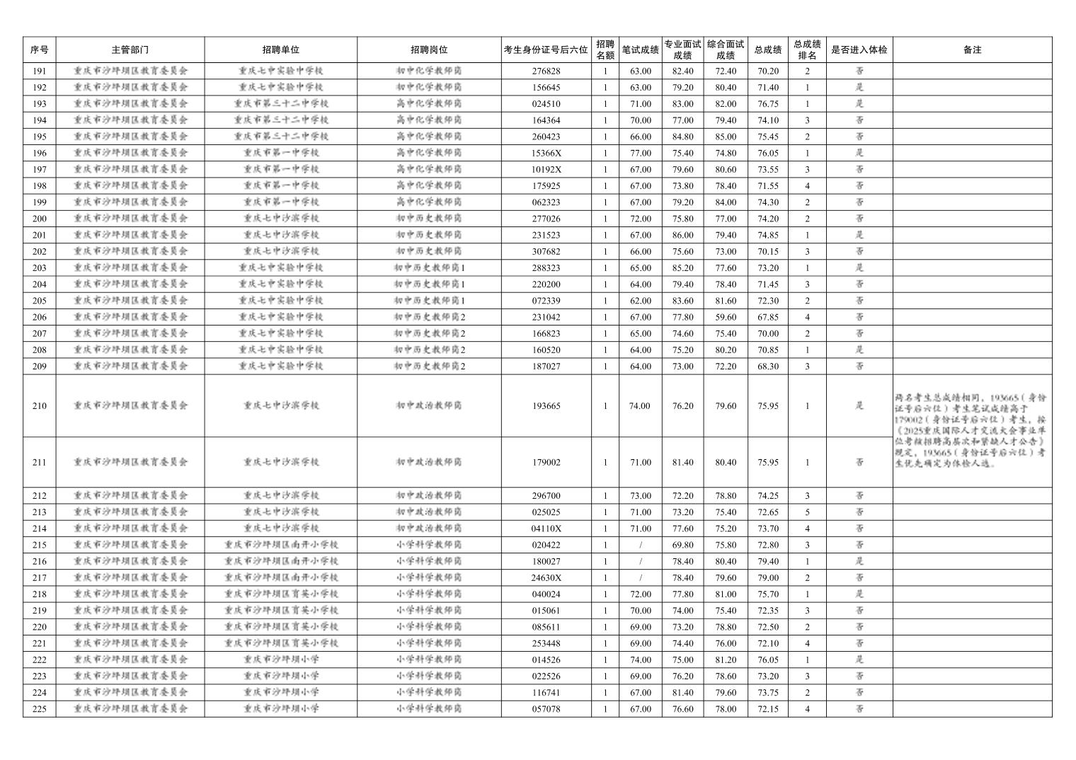
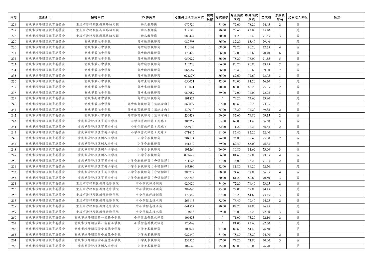
| 名称: | 2025重庆国际人才交流大会事业单位考核招聘高层次和紧缺人才沙坪坝区招聘岗位进入体检人员名单情况公示 | ||||
| 文号: | 主题词: | ||||
2025重庆国际人才交流大会事业单位考核招聘高层次和紧缺人才沙坪坝区招聘岗位进入体检人员名单情况公示
发布日期:2025-11-17









