当前位置: 首页>政务服务>主题服务>就业创业>招考录用
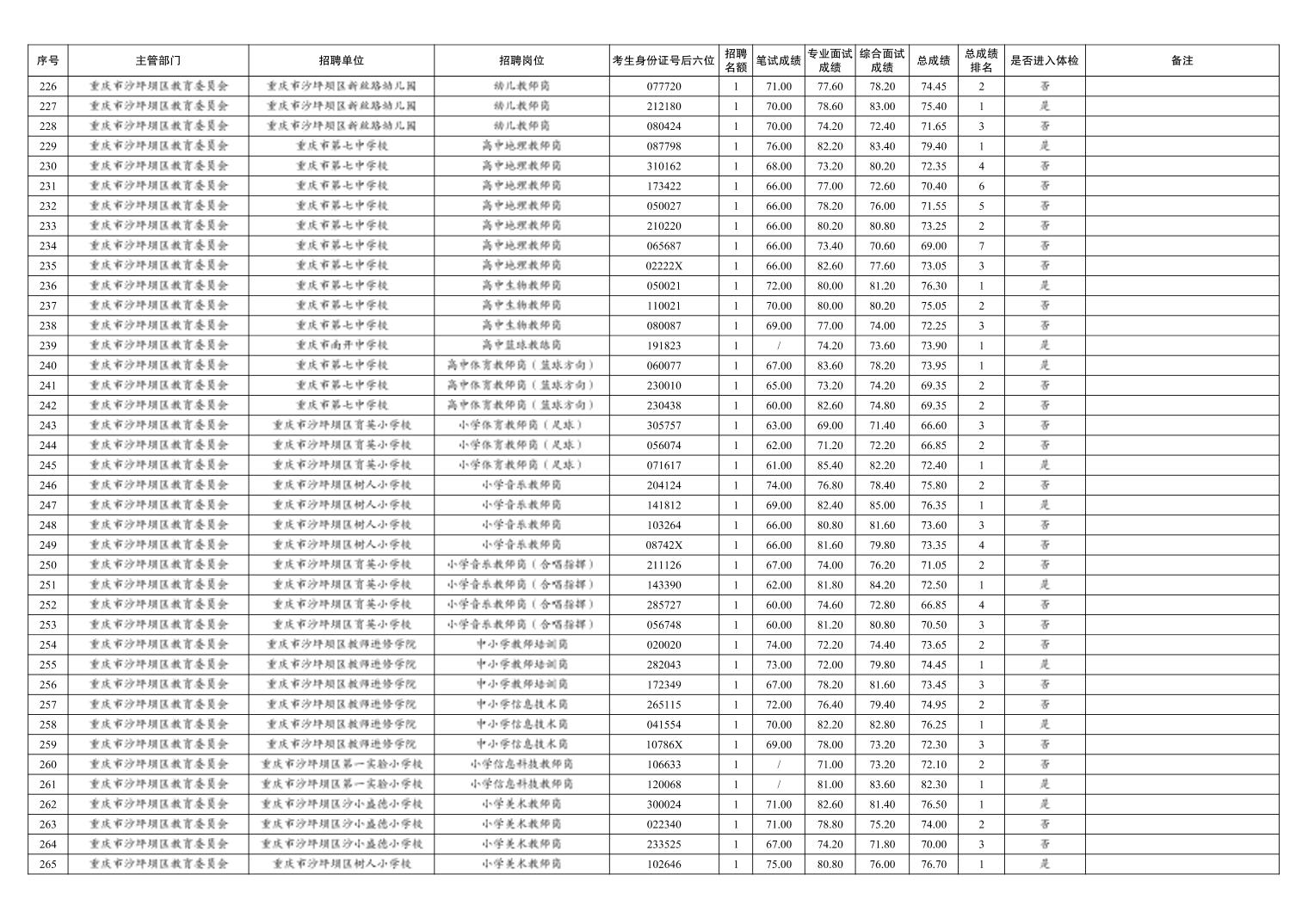
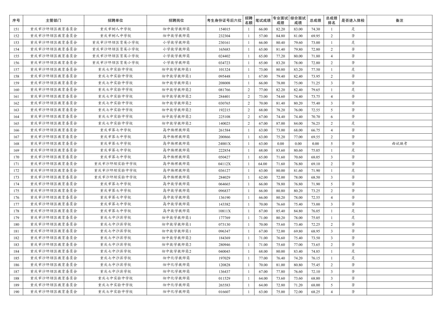
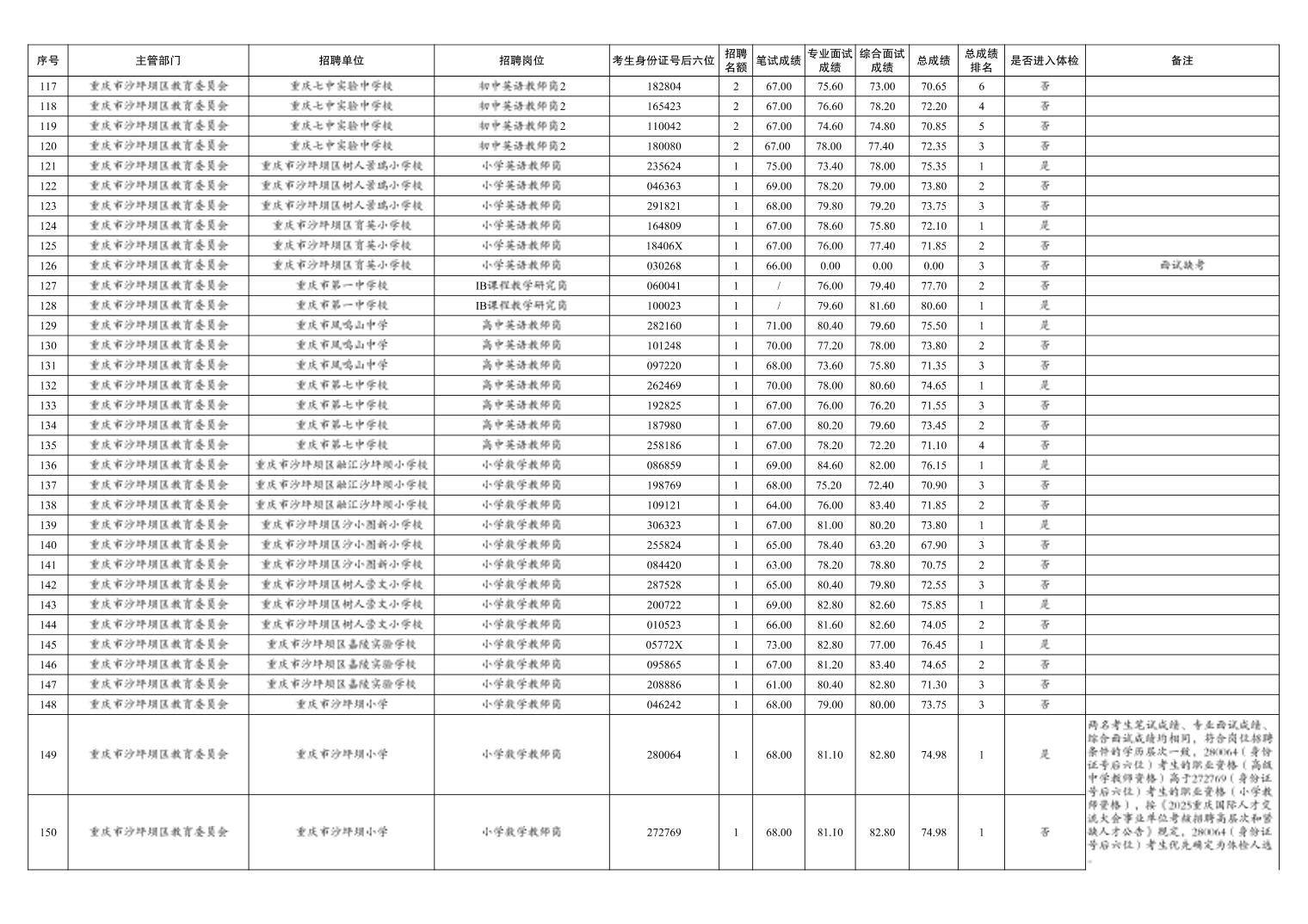
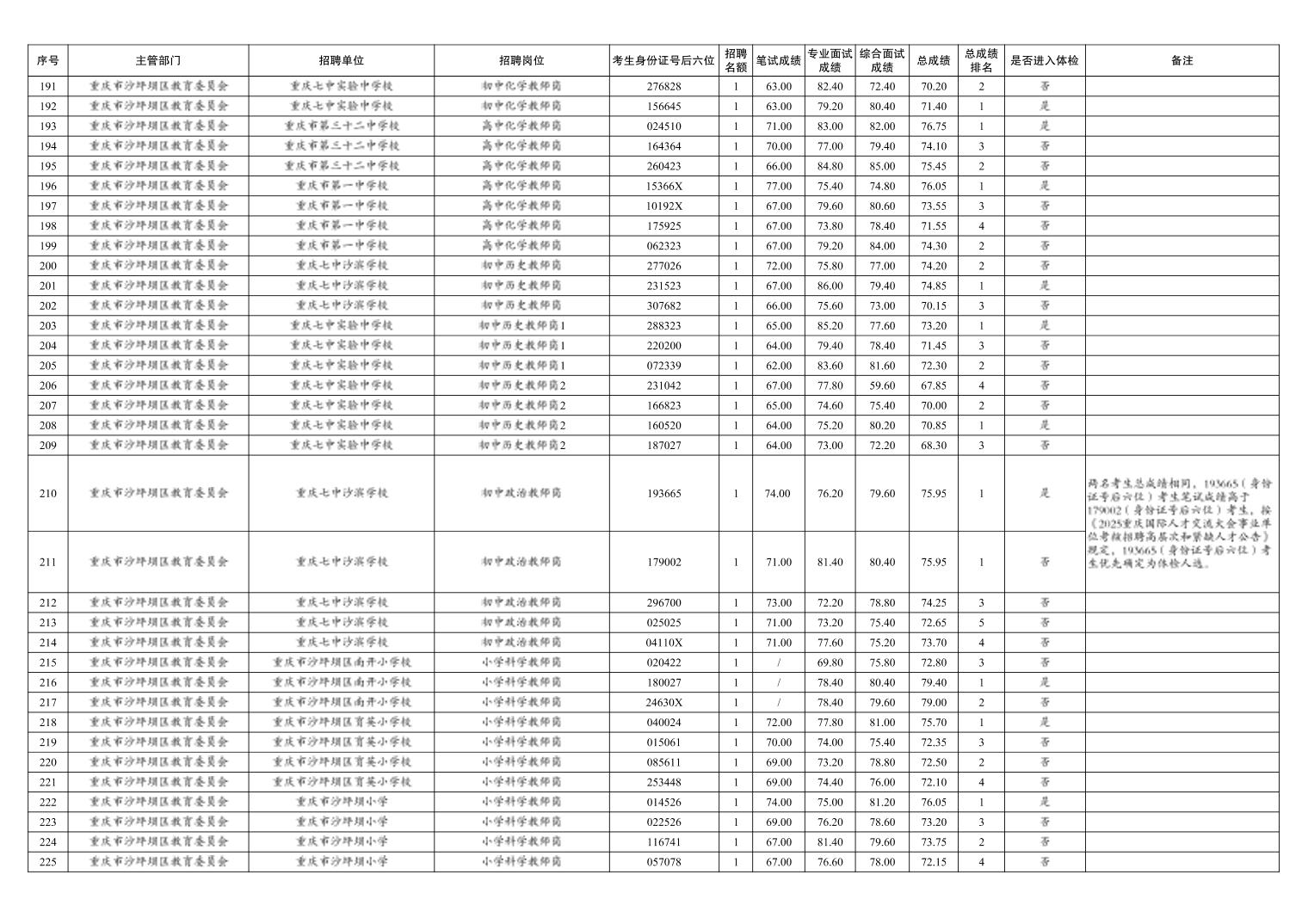
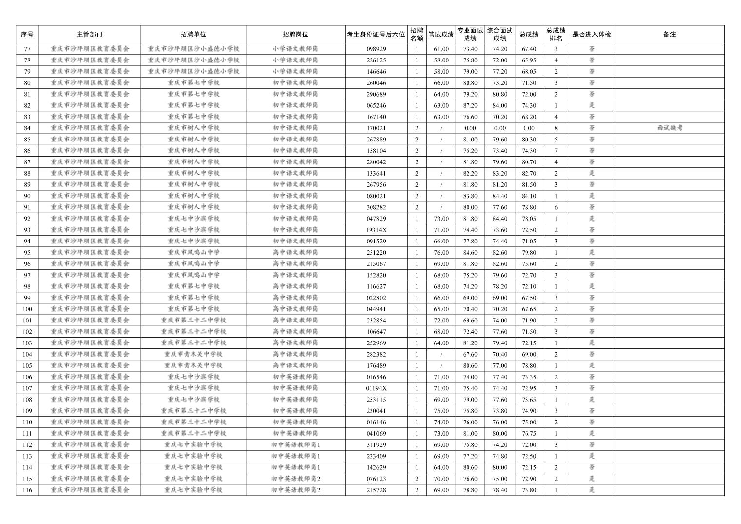
2025重庆国际人才交流大会事业单位考核招聘高层次和紧缺人才沙坪坝区招聘岗位进入体检人员名单情况公示
发布日期:2025-11-17
字体:【 默认 超大 |